Matematika Dasar Psikotes Pdf

Matematika Dasar Psikotes Pdf. Ebook ini adalah penyempurnaan dari ebook psikotes kami, karena dalam ebook psikotes kami tidak memberikan rahasia cepat kerja yang selama ini kami simpan rapat-rapat. Download Buku Matematika Dasar PDF Bahasa Indonesia.

(PDF) PENERAPAN MEDIA KEPING BERWARNA TERHADAP HASIL ...
(PDF) PENERAPAN MEDIA KEPING BERWARNA TERHADAP HASIL ... (Evelyn Ramos)
PDF Drive investigated dozens of problems and listed the biggest global issues facing the world today. Soal psikotes matematika merupakan salah satu materi yang biasanya diujikan oleh perusahaan yang ingin menjadi para pekerja yang memiliki kemampuan dan. Contoh soal psikotes - Tes Matematika dasar.

Contoh soal psikotes kerja dan jawaban.pdf.

Matematika fanidan DTM test savollar to'plami, imtihondan muvafaqqiyatli o'tishni istagan abiturientlar tomonidan qo'llanilib kelinadi.

01 Soal Matematika Dasar 2000 - 2009

Contoh Soal Psikotes Matematika Dasar

(PDF) STUDI PENGUASAAN MATEMATIKA DAN BAHASA INGGRIS ...

Matematika Dasar SPMB 1998.pdf

SELEKSI MASUK UNIVERSITAS INDONESIA SIMAK UI 346 SIMAK UI ...

Contoh Soal Psikotes Matematika Gambar Jawaban Lengkap

PEMBAHASAN MATEMATIKA DASAR [209] ? PEMBAHASAN MATEMATIKA ...

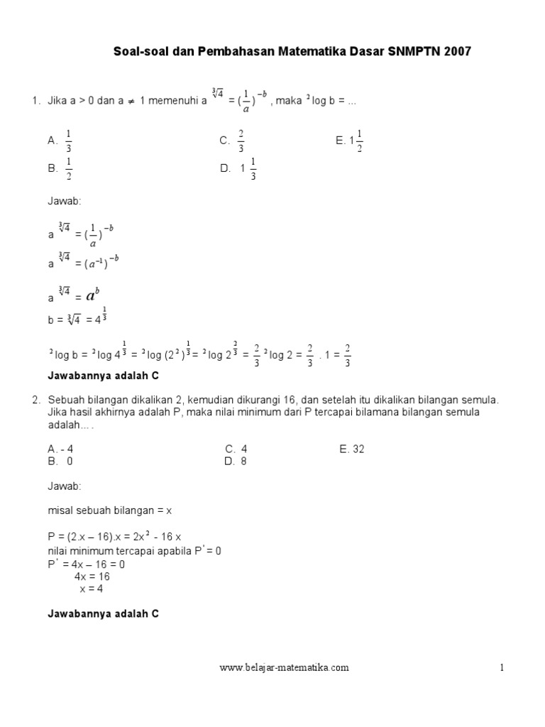
Soal-Soal Dan Pembahasan Matematika Dasar SNMPTN 2007

Soal Umb Matematika Dasar 2009 210

Contoh Soal Psikotes Matematika Dan PembahasanFull description. Dalam tes psikotes deret angka ini, kamu akan mengukur kemampuan logika matematika (kemampuan berhitung) matematika kamu. PDF Drive investigated dozens of problems and listed the biggest global issues facing the world today.

0 Response to "Matematika Dasar Psikotes Pdf"

Post a Comment

Iklan Atas Artikel

Iklan Tengah Artikel 1

Iklan Tengah Artikel 2

Iklan Bawah Artikel