Video Matematika Dasar

Video Matematika Dasar. Yuk simak video pelajaran matematika dasar ini bersama kak Andy Octavian Latief. Tapi, jika Kamu ingin Paket lengkap VCD videomatematika hub.

Matematika Dasar Teori dan Contoh - Yoa Heal
Matematika Dasar Teori dan Contoh - Yoa Heal (Lena Parker)
Matematika Dasar SMA memiliki banyak topik, dan Salah satu topik terpentingya adalah matriks! Di sini kamu bisa belajar dengan video-video pembahasan SNMPTN. Pilih Modul: Pilih koleksi modul Soal SBMPTN Matematika Dasar di edutore dari berbagai penerbit unggulan Indonesia.

Kali ini fismath.com akan mengajari kalian mengubah ton menjadi kg, ton menjadi kwintal, dan ton.

Mata Kuliah : Matematika Dasar Lecturer : M.

Buku Matematika Dasar Untuk Fisika - Deepublish

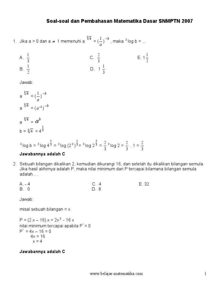
Soal-Soal Dan Pembahasan Matematika Dasar SNMPTN 2007

Matematika Dasar S-1 PG PAUD

unduh buku 1000 Soal Matematika Dasar SMA

Rumus Statistika Dasar Matematika Terlengkap - Rumus Rumus

Pertanyaan Matematika Sekolah Dasar Brain Out, Ini ...

Trik Belajar Matematika Dasar SD di Cimanggis Depok

SBMPTN dan Contoh Soal: SOAL UTBK SBMPTN 2019 MATEMATIKA ...

Zawata - Jakarta Timur: Mahasiwa S2 paud UNJ menawarkan ...

Biasanya menjawab soal-soal matematika sering menjadi hal yang ditakuti oleh para peserta SBMPTN. Saya dapat tugas untuk membuat video matematika sehari-hari, materi SMA. Kalau bisa selain transaksi jual beli.

0 Response to "Video Matematika Dasar"

Post a Comment

Iklan Atas Artikel

Iklan Tengah Artikel 1

Iklan Tengah Artikel 2

Iklan Bawah Artikel